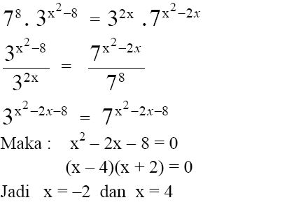
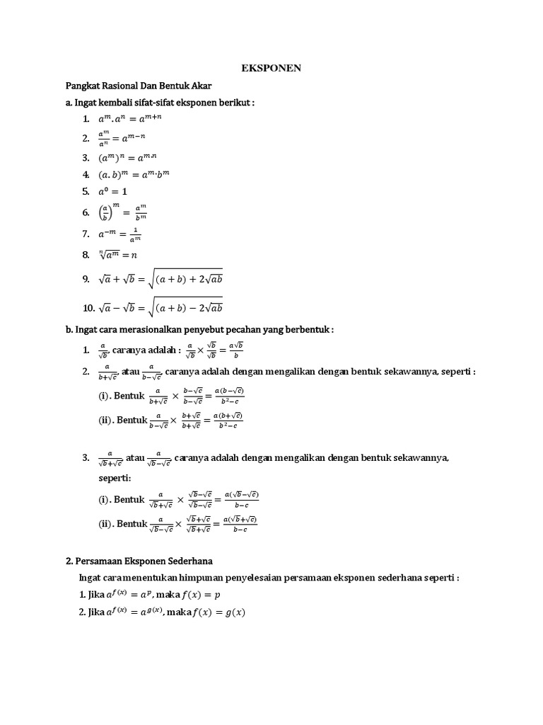
Persamaan Eksponen Sederhana

3 1 x 81. 3 1 x 81. Oktober 1 2020 pukul 544 pm penjelasanf nya mudah di pahami.
persamaan eksponen sederhana

lazy

Download

Materi 3 Bentuk Persamaan Eksponen 1 5
id.scribd.com
lazy

Download

Eksponen Matematika Matematika Kelas 10 Quipper Blog
www.quipper.com
lazy

Download

Pdf Contoh Soal Eksponen Dan Logaritma Marlina Gheuliz Academia Edu
www.academia.edu
lazy

Download

Persamaan Logaritma Materi Lengkap Matematika
www.materimatematika.com
lazy

Download

Matematika Kelas 10 Cara Menyelesaikan Persamaan Dan Pertidaksamaan Eksponen
blog.ruangguru.com
lazy

Download

Bank Soal Dan Pembahasan Matematika Dasar Eksponen 27 Defantri Com
www.defantri.com

2 x1 8 0 jawab.

Persamaan eksponen sederhana. Persamaan eksponen sebelumnya telah dibahas soal soal dasarnya pada tautan berikut. 2 2x 3. Jika hx 0 maka haruslah fx 0 dan gx 0 karena nol berpangkat nol atau berpangkat negatif tidak didefinisikan.

Soal dan pembahasan persamaan pangkat eksponen sederhana dalam bab yang sama persamaan eksponen tingkat lanjut akan terlihat lebih kompleks. 6 replies to soal dan pembahasan super lengkap persamaan eksponen sederhana hildaa berkata. Kamu dapat perhatikan bentuk umum persamaan eksponen tidak sederhana adalah persamaan kuadrat sehingga penyelesaian bentuk persamaan ini sedikit lebih rumit dibandingkan dengan persamaan eksponen sederhana.

Selain bentuk bentuk diatas terdapat pula persamaan eksponen yang dapat dinyatakan dalam bentuk persamaan kuadrat. Oktober 19 2020 pukul 536 am sangat membantu. Persamaan eksponen berbentuk hx fx hx gx untuk menyelesaikan persamaan ini kita harus melihat semua kemungkinan yaitu.

Matematika peminatan kelas x. Persamaan eksponen sederhana maksudnya persamaan yang hanya menyamakan nilai basisnya dan langsung bisa menentukan penyelesaiannya serta basisnya berbentuk bilangan bukan fungsi yang bisa dengan mudah disamakan bentuknya. Dengan menggunakan sifat sifat persamaan eksponen maka.

Perhatikan contoh berikut. Sifat sifat persamaan eksponen sederhana banyak sifatnya berikut ini sifat sifat persamaan eksponen berdasarkan pangkatnya adalah. Untuk solusinya dapat disimak pada contoh berikut.

Contoh 7 tentukan hp dari 2 2x 3. Langkah selanjutnya yang perlu kita lakukan yaitu faktorkan persamaan kuadrat yang telah kita peroleh denga memisalkan 3x a 9a2 8a 1 0 9a 1a1 0 9a 1 0 9a 1 a 19. Biasanya persamaan seperti ini memuat 3 suku dengan 1 diantaranya konstan.

Oke supaya kamu nggak semakin bingung kita coba kerjakan beberapa contoh soal di bawah ini ya. 2 x1 8 0 2 x 2 3. Oleh karena itu persamaan eksponen tingkat dasar harus dikuasai terlebih dahulu.

Tentukan himpunan penyelesaian dari perasamaan persamaan di bawah ini. Persamaan pangkat sederhana jika terdapat suatu persamaan pangkat sederhana a fx a n di mana a r yang tidak sama dengan 0 maka untuk menyelesaikannya harus disamakan ruas kiri dengan ruas kanan. Cari himpunan penyelesaian dari persamaan eksponen 32x2 83x 1 0 jawab.

lazy

Download

Persamaan Logaritma Idschool
idschool.net
lazy

Download

Blog Pendidikan Contoh Soal Pertidaksamaan Eksponen Kelas 10
ruangguru-385.blogspot.com
lazy

Download

Soal Pembahasan Bilangan Berpangkat Dan Persamaan Eksponen Sederhana Youtube
www.youtube.com
lazy

Download

E Book Modul Matematika Pages 1 50 Text Version Anyflip
anyflip.com
lazy

Download

Contoh Soal Eksponen Bilangan Berpangkat Bentuk Sederhana Matematika Sma Ipa Ips Youtube
m.youtube.com
lazy

Download

Soal Dan Pembahasan Persamaan Eksponen 1 5 Istana Mengajar
istanamengajar.wordpress.com
lazy

Download

Persamaan Eksponen Materi Lengkap Matematika
www.materimatematika.com
lazy

Download

07 Persamaan Logaritma
123dok.com
lazy

Download

Soal Latihan Eksponen Guru Ilmu Sosial
www.ilmusosial.id
lazy

Download

Persamaan Eksponen Materi Lengkap Matematika
www.materimatematika.com
lazy

Download

Matematika Peminatan Eksponen Dan Logaritma
www.slideshare.net
lazy

Download

Contoh Soal Dan Pembahasan Tentang Eksponen Sma Ajar Hitung
www.ajarhitung.com
lazy

Download

Himpunan Penyelesaian Persamaan Pangkat Eksponen F X H X G X H X Pangkat Sama Youtube
m.youtube.com
lazy

Download

Contoh Soal Dan Pembahasan Persamaan Kuadrat Kelas 10 Guru Ilmu Sosial
www.ilmusosial.id
lazy

Download

1
encrypted-tbn0.gstatic.com
lazy

Download

Eksponensial Pengertian Bentuk Dan Sifat
tambahpinter.com
lazy

Download

Contoh Soal Bentuk Akar Eksponen Logaritma Dan Pengertiannya Dosenpintar
dosenpintar.com
lazy

Download

Sifat Sifat Eksponen Contoh Soal Dan Pembahasan Eksponen Cute766
cute766.info
lazy

Download

Eksponen Persamaan Eksponen Sederhana Youtube
www.youtube.com
lazy

Download

Https Encrypted Tbn0 Gstatic Com Images Q Tbn 3aand9gctnqxoq Xa8lqhw7ysvbknryic0bdd Yfdyaxp5kf Ynsia2dh6 Usqp Cau
encrypted-tbn0.gstatic.com
lazy

Download

Persamaan Eksponen Part 1 Latihan 2 Youtube Cute766
cute766.info
lazy

Download

Persamaan Eksponen Materi Lengkap Matematika
www.materimatematika.com
lazy

Download

3 Cara Untuk Menyelesaikan Eksponen Wikihow
id.wikihow.com
lazy

Download

Contoh Soal Bentuk Akar Eksponen Logaritma Dan Pengertiannya Dosenpintar
dosenpintar.com
lazy

Download

Persamaan Eksponen Materi Lengkap Matematika
www.materimatematika.com
lazy

Download

Contoh Soal Dan Pembahasan Tentang Persamaan Eksponensial Brainly Co Id
brainly.co.id
lazy

Download

Tentukan Bentuk Sederhana Eksponen Brainly Co Id
brainly.co.id
lazy

Download

Persamaan Eksponen Pengertian Rumus Sifat Contoh Soal
rumus.co.id
lazy

Download

Persamaan Eksponen Kunci Jawaban Soal Belajar Dari Rumah Tvri Sma 30 7 2020 Tribunnewswiki Com Mobile
www.tribunnewswiki.com
lazy

Download

Contoh Soal Dan Pembahasan Persamaan Eksponen
www.sheetmath.com
lazy

Download

Soal Matematika Sma Ulangan Harian Eksponen
id.123dok.com
lazy

Download

Lembar Aktivitas Siswa Bentuk Pangkat Nbsp Matematika 15 Soal Pemantapan 01 Bentuk Sederhana Dari X3 Y 1 Pdf Document
fdokumen.com
lazy

Download

Contoh Soal Bentuk Akar Eksponen Logaritma Dan Pengertiannya Dosenpintar
dosenpintar.com
lazy

Download

Grafik Fungsi Eksponen Dan Logaritma Konsep Matematika Koma
www.konsep-matematika.com
lazy

Download

Persamaan Eksponen Sederhana Rumus Co Id
rumus.co.id
lazy

Download

Doc Lesson Plan Of Exponent And Logarithm Luddy Bambang Sasongko Academia Edu
www.academia.edu
lazy

Download

Pelajaran Soal Rumus Pelajaran Soal Rumus Persamaan Eksponen Wardaya College
www.wardayacollege.com
lazy

Download

Https Encrypted Tbn0 Gstatic Com Images Q Tbn 3aand9gcrt1zpfjxciornxd562ywr1d9loemkf0ac1ipg6arg 2k3eoqx0 Usqp Cau
encrypted-tbn0.gstatic.com
lazy

Download

Lk Eksponen
www.slideshare.net
lazy

Download

Contoh Soal Fungsi Eksponensial Pilihan Ganda Pembahasan
soalkimia.com
lazy

Download

Soal Usbn Ntt Contoh Soal Pertidaksamaan Eksponen Kelas 10 Dan Pembahasannya
naskahsoalusbn-145.blogspot.com
lazy

Download

1 Nilai X Yang Memenuhi Akar 3 2x 1 9 X 2 Adalah 2 Bentuk Sederhana Dari 2 Akar 18 3 Akar Brainly Co Id
brainly.co.id
lazy

Download

Persamaan Eksponen Konsep Matematika Koma
www.konsep-matematika.com
lazy

Download

Contoh Soal Pertidaksamaan Eksponen Kelas 10 Blog Pendidikan
ruangguru-424.blogspot.com
lazy

Download

Menyederhanakan Pangkat Eksponen Youtube Cute766
cute766.info
lazy

Download

Variasi Soal Persamaan Eksponen Bentuk 7 Bentuk Tak Sederhana Kuadrat Youtube
www.youtube.com
lazy

Download

Contoh Soal Fungsi Eksponensial Pilihan Ganda Pembahasan
soalkimia.com
lazy

Download

Matematika Kelas 10 Cara Menyelesaikan Persamaan Dan Pertidaksamaan Eksponen
blog.ruangguru.com
lazy

Download

Doc Eksponen Dan Persamaan Eksponen Sartikacandradewi Sinaga Academia Edu
www.academia.edu
lazy

Download

Materi Pokok Bentuk Akar Eksponen Dan Persamaan Eksponen
www.scribd.com
lazy

Download

Persamaan Eksponen Materi Lengkap Matematika
www.materimatematika.com
lazy

Download

Tentukan Bentuk Sederhana Eksponen Dengan Cara Ya Brainly Co Id
brainly.co.id
lazy

Download

Persamaan Eksponen
studylibid.com
lazy

Download

Soal Persamaan Eksponen Untuk Pemula
istanamatematika.com
lazy

Download

Soal Eksponen Logaritma 5
id.scribd.com
lazy

Download

Contoh Soal Bentuk Akar Eksponen Logaritma Dan Pengertiannya Dosenpintar
dosenpintar.com
lazy

Download

Pertidaksamaan Eksponen Syaiflash Com
www.syaiflash.com
lazy

Download

Eksponen Dan Logaritma Archives Mathcyber1997
mathcyber1997.com
lazy

Download

Matematika Kelas 10 Cara Menyelesaikan Persamaan Dan Pertidaksamaan Eksponen
blog.ruangguru.com
lazy

Download

Persamaan Bentuk Eksponen Sederhana Brainly Co Id
brainly.co.id
lazy

Download

Blog Pendidikan Contoh Soal Pertidaksamaan Eksponen Kelas 10
ruangguru-385.blogspot.com
lazy

Download

Buatlah Kedalam Bentuk Sederhana Dalam Eksponen Positif Brainly Co Id
brainly.co.id
lazy

Download

Matematika Kelas 10 Cara Menyelesaikan Persamaan Dan Pertidaksamaan Eksponen
blog.ruangguru.com
lazy

Download

Zona Ilmu 9 Contoh Soal Pertidaksamaan Eksponen Kelas 10 Dan Pembahasannya
zonailmupopuler-139.blogspot.com
lazy

Download

Matematika Kelas 10 Cara Menyelesaikan Persamaan Dan Pertidaksamaan Eksponen
blog.ruangguru.com
lazy

Download

Soal Eksponenlogaritma
www.slideshare.net
lazy

Download

Definisi Fungsi Eksponensial
studylibid.com
lazy

Download

Persamaan Eksponen Part 1 Latihan 2 Youtube Cute766
cute766.info
lazy

Download

Contoh Soal Dan Pembahasan Persamaan Eksponen
www.sheetmath.com
lazy

Download

Soal Dan Pembahasan Super Lengkap Persamaan Eksponen Sederhana Mathcyber1997
mathcyber1997.com
lazy

Download

Contoh Soal Bentuk Akar Eksponen Logaritma Dan Pengertiannya Dosenpintar
dosenpintar.com
lazy

Download

Notasi Ilmiah Persamaan Eksponen Sederhana Youtube
www.youtube.com
lazy

Download

Persamaan Eksponen Materi Lengkap Matematika
www.materimatematika.com
lazy

Download

Kunci Jawaban Soal Eksponen Dan Bentuk Akar Materi Belajar Dari Rumah Di Tvri Untuk Siswa Sma Smk Halaman All Bangka Pos
bangka.tribunnews.com
lazy

Download

Bab I Persamaan Eksponen
id.scribd.com
lazy

Download

Contoh Soal Eksponen Dan Penyelesaiannya Soalfismat Com
soalfismat.com
lazy

Download

Contoh Soal Dan Pembahasan Eksponen Bentuk Pangkat Guru Ilmu Sosial
www.ilmusosial.id
lazy

Download

Kumpulan Soal Persamaan Eksponen Dan Sistem Persamaan Eksponen
istanamatematika.com
lazy

Download

Soal Persamaan Eksponen Sederhana Memuat Bentuk Akar Youtube
www.youtube.com
lazy

Download

1 Eksponen
id.scribd.com
lazy

Download

Contoh Soal Dan Pembahasan Pertidaksamaan Eksponen Guru Ilmu Sosial
www.ilmusosial.id
lazy

Download

1
encrypted-tbn0.gstatic.com
lazy

Download

Eksponen
www.scribd.com
lazy

Download

Soal Dan Pembahasan Persamaan Eksponen Mathcyber1997
mathcyber1997.com
lazy

Download

Contoh Soal Eksponen Brainly Co Id
brainly.co.id
lazy

Download

Persamaan Logaritma Rumus Sifat Fungsi Dan Contoh Soal
www.gurupendidikan.co.id
lazy

Download

Matematika Kelas 10 Cara Menyelesaikan Persamaan Dan Pertidaksamaan Eksponen
blog.ruangguru.com
lazy

Download

Eksponen Matematika Matematika Kelas 10 Quipper Blog
www.quipper.com
lazy

Download

Persamaan Eksponen Materi Lengkap Matematika
www.materimatematika.com
lazy

Download

Matematika Peminatan Eksponen Dan Logaritma
www.slideshare.net
lazy

Download

Sifat Sifat Eksponen Contoh Soal Dan Pembahasan Eksponen Cute766
cute766.info
lazy

Download

Contoh Soal Dan Pembahasan Persamaan Eksponen
www.sheetmath.com
lazy

Download

Contoh Soal Bentuk Akar Eksponen Logaritma Dan Pengertiannya Dosenpintar
dosenpintar.com
lazy

Download

Contoh Soal Bentuk Akar Eksponen Logaritma Dan Pengertiannya Dosenpintar
dosenpintar.com
lazy

Download

Blog Pendidikan Contoh Soal Pertidaksamaan Eksponen Kelas 10
ruangguru-385.blogspot.com
lazy

Download

Lembar Aktivitas Siswa Bentuk Pangkat Nbsp Matematika 15 Soal Pemantapan 01 Bentuk Sederhana Dari X3 Y 1 Pdf Document
fdokumen.com
lazy

Download

Pdf Materi Kelas X Sma Ma Kurikulum 2013 Eksponen Perpangkatan Yayan E Setiawan Academia Edu
www.academia.edu
lazy

Download

Menyederhanakan Bentuk Eksponen
maths.id

Random Posts