Pertanyaan Tentang Kalimat Efektif

Pilihlah salah satu jawaban yang dianggap paling tepat dengan memeberi tanda silang x pada. By ulia kumalasari posted on june 3 2020. Apa itu kalimat efektif.
pertanyaan tentang kalimat efektif

lazy

Download

Jawab Lah 4 Pertanyaan Di Bawah Ini Brainly Co Id
brainly.co.id
lazy

Download

Pertanyaan Tentang Kalimat Efektif
www.gurupendidikan.co.id
lazy

Download

Http Files1 Simpkb Id Guruberbagi Rpp 23007 1587390475 Pdf
lazy

Download

Pada Pembelajaran 1 Kamu Telah Membaca Teks Si Kotak Ajaib Kamu Telah Menemukan Kalimat Efektif Brainly Co Id
brainly.co.id
lazy

Download

Dari Teks Tersebut Jawablah Pertanyaan Ini 1 Temukan Dan Tuliskan 4 Kata Non Baku Pada Teks Brainly Co Id
brainly.co.id
lazy

Download

Bertanya Dan Macam Pertanyaan Ppt Download
slideplayer.info

Kalimat efektif pada pembahasan materi kali ini adalah tentang pengertian contoh syarat dan ciri ciri kalimat efektif silahkan kalian simak tulisan terbaru.

Pertanyaan tentang kalimat efektif. Perbedaan istilah umum dan khusus pertanyaan tentang kalimat efektif sebutkan 3 kalimat efektif tentang penemuan sebutkan ciri ciri kalimat baku sebutkan ciri. 2013 kalimat efektif di pahami sebagai sebuah kalimat yang dapat membantu menjelaskan sesuatu persoalan secara lebih singkat jelas padat dan mudah di mengerti serta di artikan. Jawaban a salah karena konjungsi yang digunakan adalah dan.

Pertanyaan tentang kalimat efektif. Oleh gurupendidikan diposting pada 16092020. Pertanyaan tentang kalimat efektif.

Kalimat berisi tentang ide dan gagasan penulis atau pembicara. Kalimat efektif merupakan suatu kalimat yang kata katanya tersusun berdasarkan dengan kaidah bahasa indonesia yang berlaku. Konsep kalimat efektif di sampaikan melalui tulisan bahasa tulisan serta dengan gaya bahasa lisan.

Pengertian kalimat efektif kalimat efektif adalah kalimat yang sesuai dengan kaidah bahasa baik ejaan maupun tanda bacanya sehingga mudah dipahami oleh pembaca atau pendengarnya. Tentu saja karena kita berbicara tentang bahasa indonesia kaidah yang menjadi patokan kalimat efektif dalam bahasan ini adalah kaidah bahasa indonesia menurut ejaan yang disempurnakan eyd. Pentingnya pembelajaran kalimat efektif dilakukan untuk mengasah kemampuan mahasiswa dalam mengungkapkan gagasan yang dapat langsung dipahami oleh pembacapendengar tanpa menimbulkan penafsiran ganda.

Ciri ciri demokrasi. Kalimat dalam soal tidak efektif karena ada pengulangan subjek dan predikat. Jadi jawaban yang paling tepat adalah d.

Mahasiswa yang setiap waktu di hadapkan. Kalimat efektif adalah kalimat yang mengungkapkan ide dan gagasan penulis yang di sampaikan kepada pendengar atau pembaca agar pembaca dan pendengar dapat menerima ide dan gagasan penulis atau pembicara dengan jelas. Subjek aku dan predikat pergi cukup digunakan satu kali saja.

Contoh soal kalimat efektif kunci jawaban soal soal diperlukan untuk terus mengasah kemampuan kita terutama ketika dilaksanakan ujian. Kalimat efektif dapat diartikan sebagai susunan kata yang mengikuti kaidah kebahasaan secara baik dan benar. Ada beberapa kalimat dalam bahasa indonesia yang dapat dikatakan standar yaitu salah satunya memenuhi eyd sebagai acuan atau patokan suatu kalimat dapat dikatakan baik.

Oleh duniapcoid diposting pada 09072020. Dengan kata lain kalimat efektif mampu. Berikut adalah contoh soal kalimat efektif yang bisa anda gunakan sebagai latihan menghadapi soal soal terutama yang berkaitan dengan materi kalimat efektif.

Kalimat efektif dipahami sebagai kalimat yang dapat menyampaikan informasi dan informasi tersebut mudah dipahami oleh pembaca. Pengertian kalimat efektif kalimat efektif adalah kalimat yang sesuai dengan kaidah bahasa baik ejaan maupun tanda bacanya sehingga mudah dipahami oleh pembaca atau pendengarnya. Pertanyaan tentang kalimat efektif.

lazy

Download

Buatlah Pertanyaan Beserta Jawabannya Dalam Kalimat Efektif Dengan Teks Pertempuran Ambarawa Brainly Co Id
brainly.co.id
lazy

Download

Tolong Bantu Jawab Pertanyaan Ini Brainly Co Id
brainly.co.id
lazy

Download

Pengertian Pertanyaan Retorik Definisi Kalimat Tanya
www.gurupendidikan.co.id
lazy

Download

Contoh Pertanyaan Untuk Kalimat Efektif Contoh Ert
contohert.blogspot.com
lazy

Download

Kalimat Efektif Dan Tidak Efektif
id.scribd.com
lazy

Download

Peta Pikiran Pertempuran Ambarawa Tema 2 Kelas 6 Halaman 66
oriflameid.com
lazy

Download

Bahasa Indonesia Kalimat Efektif Dan Contoh Soal Wkwkpedia
wikiwoh.blogspot.com
lazy

Download

Panduan Melakukan Wawancara Yang Baik Dan Efektif Bunga Tepi Jalan
bungatepijalan.wordpress.com
lazy

Download

Pelajari 5 Contoh Soal Kalimat Efektif Ini Agar Lulus Sbmptn 2018
www.quipper.com
lazy

Download

A Buatlah Pertanyaan Dari Bacaan Tersebut Dalam Bentuk Peta Pikiran Apa Mengapa Siapa Brainly Co Id
brainly.co.id
lazy

Download

Kalimat Efektif Pengertian Syarat Dan Ciri Ciri Bahasa 2 Indonesia
bahasa2indonesia.blogspot.com
lazy

Download

Berdasarkan Pertanyaan Di Atas Buatlah Kalimat Efektif Dalam Sebuah Paragraf Yang Baku Brainly Co Id
brainly.co.id
lazy

Download

Merancang Kuesioner
www.bilsonsimamora.com
lazy

Download

1 Buatlah Pertanyaan Berdasarkan Teks Di Atas Dengan Kata Tanya Apa Dimana Kapan Siapa Mengapa Brainly Co Id
brainly.co.id
lazy

Download

Kalimat Efektif
www.slideshare.net
lazy

Download

50 Contoh Kalimat Efektif Dan Tidak Efektif Lengkap
bocahkampus.com
lazy

Download

Rpp
id.scribd.com
lazy

Download

Bahasa Indonesia Stacy Claudia Steaching Learning Journal
stacyclaudia.weebly.com
lazy

Download

Ubahlah Kalimat Tidak Efektif Yang Kamu Temukan Pada Teks Si Kotak Ajaib Menjadi Kalimat Efektif
hargaticket.com
lazy

Download

Bahasa Indonesia Sd
studylibid.com
lazy

Download

Peta Pikiran Pertempuran Surabaya Tema 2 Kelas 6 Halaman 45
oriflameid.com
lazy

Download

68 Contoh Kalimat Efektif Dan Tidak Efektif Yang Baik Dan Benar
moondoggiesmusic.com
lazy

Download

Pertanyaan Tentang Kalimat Efektif Rumus Co Id
rumus.co.id
lazy

Download

Kalimat Yang Efektif
www.slideshare.net
lazy

Download

53 Contoh Kalimat Tanya Pengertian Ciri Ciri Dan Jenisnya
www.dosenpendidikan.co.id
lazy

Download

Pengertian Kalimat Efektif Ciri Ciri Syarat Dan Contoh Lengkap Jagad Id
jagad.id
lazy

Download

Teman Teman Please Bantu Itu Pertanyaan Nya Membuat Informasi Pakai Kalimat Efektif Ada Subjek Nya Brainly Co Id
brainly.co.id
lazy

Download

Mohon Bantuannya Soal Buatlah Pertanyaan Apa Mengapa Siapa Bagaimana Kapan Dimana Menggunakan Brainly Co Id
brainly.co.id
lazy

Download

Pertanyaan Kalimat Efektif
www.seputarpengetahuan.co.id
lazy

Download

Pertanyaan Bhs Indonesia1 Kalimat Tanya Yang Tepat Sesuai Teks Tersebut Adalah A Apa Yang Akan Brainly Co Id
brainly.co.id
lazy

Download

Kalimat Efektif Pengertian Contoh Syarat Dan Ciri Cirinya
rumus.co.id
lazy

Download

Berlatih Kalimat Efektif Fix Docx
id.scribd.com
lazy

Download

Kalimat Efektif
www.slideshare.net
lazy

Download

Perhatikan Pengunaab Kosakata Baku Dan Kalimat Efektifhalaman 1 Judul Mati Lampuhalaman 2 Brainly Co Id
brainly.co.id
lazy

Download

Kalimat Efektif Pengertian Syarat Ciri Unsur Contoh
www.dosenpendidikan.co.id
lazy

Download

80 Contoh Kalimat Efektif Dan Tidak Efektif Yang Benar Penjelasannya
www.zonareferensi.com
lazy

Download

Bahasa Dan Tata Tulis Kalimat Efektif
www.slideshare.net
lazy

Download

Temukan Kosakata Non Baku Dan Kalimat Tidak Efektif Dalam Teks Di Atas Tulislah Dalam Tabel Berikut Tribun Padang
padang.tribunnews.com
lazy

Download

Http Repository Uinjkt Ac Id Dspace Bitstream 123456789 40619 1 Skripsi 20septi 20liawati Fitk 20 Pdf
lazy

Download

Pelajari 5 Contoh Soal Kalimat Efektif Ini Agar Lulus Sbmptn 2018
www.quipper.com
lazy

Download

Bahasa Indonesia Kalimat Efektif Kalimat Efisien Kalimat Baku Oleh Ppt Download
slideplayer.info
lazy

Download

Kalimat Efektif Jadi
www.slideshare.net
lazy

Download

7 Ii Landasan Teori 2 1 Penggunaan Bahasa Dalam Soal
studylibid.com
lazy

Download

Presentasi Bahasa Indonesia Kelompok 1 By Ghinna Dyah On Prezi Next
prezi.com
lazy

Download

Pertempuran Ambarawa Buatlah Peta Pikiran Dalam Kalimat Efektif Itu Ceritanya Yang Difoto Brainly Co Id
brainly.co.id
lazy

Download

Pertanyaan Tentang Kalimat Efektif
www.studinews.co.id
lazy

Download

Gimana Cara Menulis Kalimat Efektif Yuk Baca Ini Campuspedia Kabar
campuspedia.id
lazy

Download

Soal Kalimat Efektif Pembahasan
id.scribd.com
lazy

Download

Kakak Tolong Dijawab Tentang Kalimat Efektif Soal Tertera Pada Gambar Brainly Co Id
brainly.co.id
lazy

Download

Pertemuan V Kalimat Efektif Ppt Download
slideplayer.info
lazy

Download

Contoh Soal Alasan Mengapa Kalimat Tidak Efektif Dan Pembahasan Soal Un 2019 Smp Mts Zuhri Indonesia
zuhriindonesia.blogspot.com
lazy

Download

Contoh Soal Kalimat Efektif Pembahasan Soal Kalimat Efektif Dalam Try Out Uji Coba Un Bahasa Indonesia Smp Pusat Ilmu Pengetahuan
pustamun.blogspot.com
lazy

Download

Makalah Kalimat Efektif
id.scribd.com
lazy

Download

6 Kalimat Efektif
www.slideshare.net
lazy

Download

Bahasa Indonesia Tema 2 Peta Konsep Kalimat Efektif Dan Kata Baku Youtube
www.youtube.com
lazy

Download

Kalimat Efektif Pengertian Syarat Contoh Kalimat Unsur
www.gurupendidikan.co.id
lazy

Download

Pertanyaan Kalimat Efektif Pelajaran Sekolah Online
www.pelajaran.co.id
lazy

Download

Pertanyaan Tentang Kalimat Efektif Materibelajar Co Id
materibelajar.co.id
lazy

Download

Pertanyaan Kosakata Baku Kosakata Non Baku Kalimat Tidak Efektif Brainly Co Id
brainly.co.id
lazy

Download

Kunci Jawaban Tema 2 Kelas 6 Sd Halaman 44 45 46 48 49 50 Buku Tematik Subtema 2 Pembelajaran 1 Halaman 4 Tribunnews Com Mobile
m.tribunnews.com
lazy

Download

Kalimat Efektif Masih Pusing Bgt Soal Ini Brainly Co Id
brainly.co.id
lazy

Download

Kalimat Efektif Dan Tidak Efektif Pengertian Unsur Dan Ciri
pendidikanmu.com
lazy

Download

Pembahasan Soal Un 2016 2017 Bahasa Indonesia Smp Mts Mengidentifikasi Kalimat Yang Tidak Efektif Zuhri Indonesia
zuhriindonesia.blogspot.com
lazy

Download

Rencana Pelaksanaan Pembelajaran Sub Tema 1 Pelajaran 1
id.scribd.com
lazy

Download

Pertanyaan 1 Dapatkah Anda Menemukan Kalimat Yang Menggunakan Kata Sapaan Pada Surat Lamaran Brainly Co Id
brainly.co.id
lazy

Download

Contoh Kata Efektif Materi Pelajaran 1
tternakkambing.blogspot.com
lazy

Download

Penulisan Ilmiah Prinsip Tata Ejaan Pertanyaan Dari Kelompok 1
es.scribd.com
lazy

Download

Buat Lah Kalimat Pertanyaan Yang Sesuai Dangan Bacaan Teks Terse But Menggunakan Kalimat Efektif Brainly Co Id
brainly.co.id
lazy

Download

6 Kalimat Efektif
www.slideshare.net
lazy

Download

Ubahlah Kalimat Tidak Efektif Yang Kamu Temukan Pada Teks Si Kotak Ajaib Menjadi Kalimat Efektif
hargaticket.com
lazy

Download

Tolong Jawab Pertanyaan Kalimat Yang Tidak Efektif Perbaiki Kalimat Menjadi Kalimat Efektif Brainly Co Id
brainly.co.id
lazy

Download

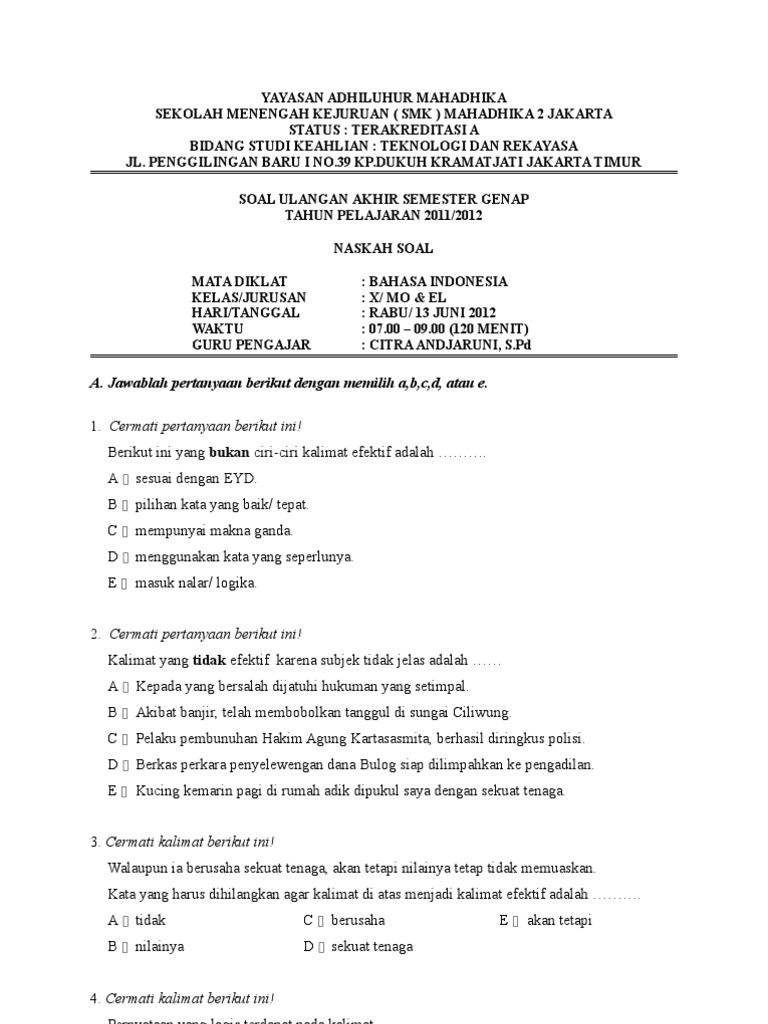
Soal Uas Bhs Indo Genap X 2011 2012
id.scribd.com
lazy

Download

Syarat Kalimat Efektif Kasus Kalimat Tdk Efektif Ppt Download
slideplayer.info
lazy

Download

Kalimat Efektif Pengertian Syarat Contoh Kalimat Unsur
www.gurupendidikan.co.id
lazy

Download

Kosakatanon Bakuminimal 5perbaikan Kosakatabaku Minimal 5kalimat Tidakefektifminimal Brainly Co Id
brainly.co.id
lazy

Download

Kalimat Efektif Pengertian Syarat Ciri Unsur Contoh
www.dosenpendidikan.co.id
lazy

Download

Cndr On Twitter Penggunaan Kalimat Efektif
twitter.com
lazy

Download

Carilah Kalimat Tidak Efektif Pada Paragraf 1 Dan Perbaikilah Kalimat Tersebut Menjadi Kalimat Brainly Co Id
brainly.co.id
lazy

Download

Kak Tolong Jawab Pertanyaan Ini Cari Kak Kalimat Tidak Efektif Dan Kalimat Efektif Sesuai Teks Brainly Co Id
brainly.co.id
lazy

Download

Buku Siswa Kelas 6 Tema 2 Revisi 2018 Ayomadrasah Pages 51 100 Flip Pdf Download Fliphtml5
fliphtml5.com
lazy

Download

Kalimat Efektif
www.slideshare.net
lazy

Download

Kalimat Dalam Bahasa
www.slideshare.net
lazy

Download

Yuk Membuat Kalimat Efektif Dunia Biza
duniabiza.com
lazy

Download

Pelajari 5 Contoh Soal Kalimat Efektif Ini Agar Lulus Sbmptn 2018
www.quipper.com
lazy

Download

Buatlah Pertanyaan Beserta Jawabannya Dalam Kalimat Efektif Teks Mengapa Persatuan Dan Kesatuan Brainly Co Id
brainly.co.id
lazy

Download

Kalimat Efektif
www.slideshare.net
lazy

Download

4 Kalimat Efektif
www.scribd.com
lazy

Download

Kalimat Efektif Ciri Unsur Pengertian Contoh Pembahasan Serupa Id
serupa.id
lazy

Download

Rencana Pelaksanaan Pembelajaran 1 Edit
id.scribd.com
lazy

Download

Kalimat Tanya Pengertian Ciri Ciri Jenis Dan Contohnya
rumusbilangan.com
lazy

Download

Buatlah Pertanyaan Dari Teks Tersebut Gunakan Kata Tanya Apa Di Mana Kapan Siapa Mengapa Dan Brainly Co Id
brainly.co.id
lazy

Download

Fauzan Al Rasyid On Twitter Saya Sering Dapat Pertanyaan Apakah Ejaan Itu Termasuk Dalam Syarat Kalimat Efektif Iya Pasti Https T Co Tfsomtp1ea
twitter.com
lazy

Download

67 Contoh Kalimat Efektif Beserta Struktur Lengkapnya
damainesia.com
lazy

Download

Bantu Saya Mengubah Kalimat Di Atas Menjadi Kalimat Efektif Brainly Co Id
brainly.co.id

Random Posts